These CAT Remainders questions/problems with solutions provide you vital practice for the topic. The purpose of these posts is very simple: to help you learn through practice.
Question 1: Let n! = 1 x 2 x 3 x……….x n for integer n> 1. If p = 1! + (2 x 2!) + (3 x 3!) + ……(10 x 10!),then p+2 when divided by 11! Leaves remainder of
(a) 10
(b) 0
(c) 7
(d) 1
Answers and Explanations
Answer: (d)
If P = 1! = 1
Then P + 2 = 3, when divided by 2! remainder will be 1.
If P = 1! + 2 × 2! = 5
Then, P + 2 = 7 when divided by 3! remainder is still 1.
Hence, P = 1! + (2 × 2!) + (3 × 3!)+ ……+ (10 × 10!)
Hence, when p + 2 is divided by 11!, the remainder is 1.
Alternative method:
P = 1 + 2 × 2! + 3 × 3! + …..10 × 10!
= (2 – 1)1! + (3 – 1)2! + (4 – 1)3! + …+ (11 – 1)10!
= 2! – 1! + 3! – 2! + …..+ 11! – 10!
= 11! – 1
Hence p + 2 = 11! + 1
Hence, when p + 2 is divided by 11!, the remainder is 1
Question 2: The remainder, when (1523 + 2323) is divided by 19, is :
(a) 4
(b) 15
(c) 0
(d) 18
Answers and Explanations
Answers: (c)
an +bn is always divisible by a + b when n is odd.
Therefore 1523 + 2323 is always divisible by 15 + 23 = 38.
As 38 is a multiple of 19, 1523 + 2323 is divisible by 19.
Therefore,the required remainder is 0.
Question 3: What is the sum of all two-digit numbers that give a remainder of 3 when they are divided by 7?
(a) 666
(b) 676
(c) 683
(d) 777
Answers and Explanations
Answers: (b)
First of all, we have to identify such 2 digit numbers.
Obviously, they are 10, 17, 24, ….94
The required sum = 10 + 17 … 94.
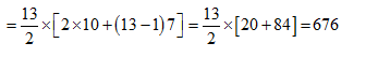
Now this is an A.P. with a = 10, n = 13 and d = 7
Hence, the sum is

Question 4: After the division of a number successively by 3, 4 and 7, the remainders obtained are 2,1 and 4 respectively. What will be the remainder if 84 divides the same number?
(a) 80
(b) 75
(c) 41
(d) 53
Answers and Explanations
Answers: (d)
In the successive division, the quotient of first division becomes the dividend of the second division and so on.
Let the last quotient be p, so the last dividend will be 7p + 4 which is the quotient of the second division.
So, the second dividend is (7p + 4) × 4 + 1.
Applying the same logic, the number = 3 {4(7p + 4) + 1} + 2 = 84p + 53
Hence, if the number is divided by 84, the remainder is 53.
Question 5: Let N = 553 + 173 – 723. N is divisible by:
(a) both 7 and 13
(b) both 3 and 13
(c) both 17 and 7
(d) both 3 and 17
Answers and Explanations
Answers: (d)
We have N = 553 + 173 – 723 = (54 + 1)3 + (18 – 1)3 – 723
When N is divided by 3, we get remainders (1)3 + (- 1)3 – 0 = 0
Hence, the number N is divisible by 3.
Again N = (51 + 4)3 + 173 – (68 + 4)3
When N is divided by 17, the remainder is (4)3 + 0 – (4)3 = 0
Hence, the number is divisible by 17.
Hence, the number is divisible by both 3 and 17.











