The purpose of this article is to provide you with a methodology to compare two percentages. Various applications and formulas based on this concept are explained here.
In this article, it is not about the results alone. The approach adopted while comparing percentages is important too. The derivations given in this article will help you understand this topic better.
Result 1: If A is P% more/less than B, then B is {100P/(100+P)}% less/more than A.
Let us say A is P% more than B
Therefore, we can say:
A = {(100 + P)/100}B
Now, to calculate by what percentage is B is less than A, we need to make the following calculation:
{(A-B)/A} x 100

Now, let us take up the reverse case.
Let say A is P% less than B
Therefore, we can say:
A = (100 – P/100)B
Now, to calculate by what percentage is B is more than A, we need to make the following calculation:

Combining the two above, we arrive at our main result.
Result 2: If the value of an item goes up/down by P%, the percentage reduction/increment that needs to be now made to bring it back to the original point is {100P/(100+P)}%
Result 3: If the price of an item goes up/down by P %, then the quantity consumed should be reduced/increased by{100P/(100+P)}% so that the total expenditure remains the same.
Derivation for the result:
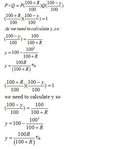
Expenditure on any quantity = price per piece × total consumed quantity
{For example, if a pen is of Rs. 5 and we have bought 10 such pens, the total expenditure is = 5 × 10 = Rs. 50}
Let P be the original price per time.
Let Q be the quantity consumed.
Original Expenditure= P × Q …. (1)
Let say price is increased by R%.
This means that the quantity has to be decreased in order to maintain expenditure constant.
Let’s assume the consumption is decreased by y%.
New Expenditure , E = P{(100+R)/100}Q{(100-y)/100} ………2
Since the original expenditure and the new expenditure are the same, we arrive at the following equation:

Remember, each of these results effectively uses the basic concept of percentage and is a derivative of the same.
Example: If A’s income is 60% less than that of B’s, then B’s income is what percent more than that of A?

Percentages: The Complete Lesson
Table of Contents
Tests











Good for preparation of aptitude
what a teacher you are Sir. The one who teaches simply knows it very much clearly. If you can start a course of ssc i will buy the course. you are great sir.