- This is an assessment test.
- These tests focus on the basics of Maths and are meant to indicate your preparation level for the subject.
- Kindly take the tests in this series with a pre-defined schedule.
Basic Maths: Test 17
Congratulations - you have completed Basic Maths: Test 17.You scored %%SCORE%% out of %%TOTAL%%.You correct answer percentage: %%PERCENTAGE%% .Your performance has been rated as %%RATING%%
Your answers are highlighted below.
Question 1 |
$\displaystyle \left[ 3\frac{1}{4}\div \left\{ 1\frac{1}{4}-\frac{1}{2}\left( 2\frac{1}{2}-\frac{1}{4}-\frac{1}{6} \right) \right\} \right]\,\div \left( \frac{1}{2}\,of\,4\frac{2}{3} \right)$
18.76 | |
36.89 | |
33.42 | |
78.54 |
Question 1 Explanation:

Question 2 |
The value of $ \displaystyle 8\div \left[ 1+1\div \{1+1\div \left( 1+1\div 2 \right)\} \right]$ is
$ \displaystyle 1$ | |
$ \displaystyle 5$ | |
$ \displaystyle 2$ | |
$ \displaystyle \frac{1}{2}$ |
Question 2 Explanation:
$ \displaystyle \begin{array}{l}=8\div \left[ 1+1\div \left\{ 1+1\div \left( 1+1\div 2 \right) \right\} \right]\\=8\div \left[ 1+1\div \left\{ 1+1\div \left( 1+\frac{1}{2} \right) \right\} \right]\\=8\div \left[ 1+1\div \left\{ 1+1\div \frac{3}{2} \right\} \right]\\=8\div \left[ 1+1\div \left\{ 1+\frac{2}{3} \right\} \right]\\=8\div \left[ 1+1\div \frac{5}{3} \right]\\=8\div \left[ 1+\frac{3}{5} \right]\\=8\div \frac{8}{5}=5\end{array}$
Question 3 |
The simplified value of
$ \displaystyle \frac{\frac{1}{3}\div \frac{1}{3}\times \frac{1}{3}}{\frac{1}{3}\div \frac{1}{3}\,of\,\frac{1}{3}}-\frac{1}{3}$
$ \displaystyle \frac{\frac{1}{3}\div \frac{1}{3}\times \frac{1}{3}}{\frac{1}{3}\div \frac{1}{3}\,of\,\frac{1}{3}}-\frac{1}{3}$
$ \displaystyle 0$ | |
$ \displaystyle 1$ | |
$ \displaystyle \frac{1}{3}$ | |
$ \displaystyle -\frac{2}{9}$ |
Question 3 Explanation:
The given expression is
$ \displaystyle \begin{array}{l}=\frac{\frac{1}{3}\div \frac{1}{3}\times \frac{1}{3}}{\frac{1}{3}\div \left( \frac{1}{3}\,\times \,\frac{1}{3} \right)}-\frac{1}{3}\\=\frac{\frac{1}{3}}{\frac{1}{3}\div \frac{1}{3}}-\frac{1}{3}\\=\frac{\frac{1}{3}}{\frac{1}{3}\times 9}-\frac{1}{3}\\=\frac{\frac{1}{3}}{3}-\frac{1}{3}\\=\frac{1}{9}-\frac{1}{3}=-2/9\end{array}$
$ \displaystyle \begin{array}{l}=\frac{\frac{1}{3}\div \frac{1}{3}\times \frac{1}{3}}{\frac{1}{3}\div \left( \frac{1}{3}\,\times \,\frac{1}{3} \right)}-\frac{1}{3}\\=\frac{\frac{1}{3}}{\frac{1}{3}\div \frac{1}{3}}-\frac{1}{3}\\=\frac{\frac{1}{3}}{\frac{1}{3}\times 9}-\frac{1}{3}\\=\frac{\frac{1}{3}}{3}-\frac{1}{3}\\=\frac{1}{9}-\frac{1}{3}=-2/9\end{array}$
Question 4 |
Simplify
$ \displaystyle \frac{2\frac{3}{4}}{1\frac{5}{6}}\div \frac{7}{8}\times \left( \frac{1}{3}+\frac{1}{4} \right)+\frac{5}{7}\div \frac{3}{4}\,\,of\,\frac{4}{7}$
$ \displaystyle \frac{2\frac{3}{4}}{1\frac{5}{6}}\div \frac{7}{8}\times \left( \frac{1}{3}+\frac{1}{4} \right)+\frac{5}{7}\div \frac{3}{4}\,\,of\,\frac{4}{7}$
$ \displaystyle \frac{56}{77}$ | |
$ \displaystyle \frac{49}{80}$ | |
$ \displaystyle 2\frac{2}{3}$ | |
$ \displaystyle 3\frac{2}{9}$ |
Question 4 Explanation:
The given expression
$ \displaystyle \begin{array}{l}\frac{\frac{11}{4}}{\frac{11}{6}}\div \frac{7}{8}\left( \frac{4+3}{12} \right)+\frac{5}{7}\div \frac{3}{4}\,\,of\,\,\frac{4}{7}\\=\left( \frac{11}{4}\times \frac{6}{11} \right)\div \frac{7}{8}\times \frac{7}{12}+\frac{5}{7}\div \left( \frac{3}{4}\times \frac{4}{7} \right)\\=\frac{3}{2}\div \frac{7}{8}\times \frac{7}{12}+\frac{5}{7}\div \frac{3}{7}\\=\frac{3}{2}\times \frac{8}{7}\times \frac{7}{12}+\frac{5}{7}\div \frac{3}{7}\\=1+\frac{5}{3}\\=\frac{8}{3}\\=2\frac{2}{3}\end{array}$
Question 5 |
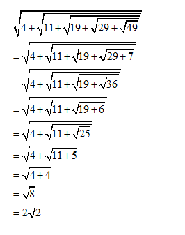
The value of <br>$ \displaystyle \sqrt{4+\sqrt{11+\sqrt{19+\sqrt{29+\sqrt{49}}}}}$ <br>is
$ 2\sqrt{2}$ | |
$ {2}/{\sqrt{2}}\;$ | |
$ 7$ | |
$ 5$ |
Question 5 Explanation:

Once you are finished, click the button below. Any items you have not completed will be marked incorrect.
There are 5 questions to complete.
List |










