1. Statesmanship
• Skill in managing public affairs.
Usage: We need strong statesmanship and leadership.
• Statesmanship is the craft or skill of being a statesman, of leading a government well while diplomacy is the art and practice of conducting international relations by negotiating alliances, treaties, agreements etc., bilaterally or multilaterally, between states/countries

2. Limerick
• A limerick is a form of verse, usually humorous and frequently rude, in five-line.
• It is predominantly anapaestic meter with a strict rhyme scheme of AABBA, in which the first, second and fifth line rhyme, while the third and fourth lines are shorter and share a different rhyme.


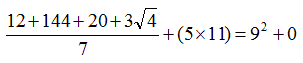
“A dozen, a gross, and a score
Plus three times the square root of four
Divided by seven
Plus five times eleven
Is nine squared and not a bit more.”
Usage: My wife and I wrote a limerick about quantum computing for a poetry contest that Science News was running.

3. Hustler
• A person adept at aggressive selling or illicit dealing.
Usage: Small-time hustlers trying to sell their stuff.

4. Growth hacking
• Growth hacking is a relatively new field in marketing focused on growth.
• It started in relation to early-stage start-ups who need massive growth in a short time on small budgets, but has since then also reached bigger corporate companies.
Usage: Growth hacking is an umbrella term for strategies focused solely on growth.

5. Mend one’s ways
• Improve one’s habits or behaviour.
Usage: She told Vincent to clear out of the house if he couldn’t mend his ways.

6. Leeway
• The amount of freedom to move or act that is available.
Usage: The central government had greater leeway to introduce reforms than state government.

7. Frail
• A person: weak and delicate.
Usage: His hair was completely gray, which made him seem frail and vulnerable.

8. Quietude
• A state of stillness, calmness, and quiet in a person or place.
Usage: It highlights her quietude and wise passivity.

9. Purported
• Appearing or stated to be true, though not necessarily so. If something purportedly happened, it may or may not have actually occurred.
Usage: The law is also purportedly aimed at preventing things like identity theft and other types of fraud.

10. Askew
• Wrong or awry. Not in a straight or level position.
Usage: The plan went sadly askew.

11. Rancour
• Bitterness or resentfulness, especially when long standing.
Usage: He spoke without rancour.

×

Get 1 Free Counselling


Free Counselling
Call Icon